
传动轴凸缘的使用,可以加强传动轴的强度,另外利用其产生的振动,凸缘位置和大小,平衡活塞的振动,其工作过程中需要承受巨大的摩擦力,因此凸缘端面和外圆面需要较高的硬度、耐磨性和使用寿命。
问题的提出
本文以某汽车凸缘轴为例,针对其技术要求及淬火过程中存在的问题进行分析研究,提出一种凸缘类零件专用淬火9.1成人免费看片器及配用尺寸确定方法。
1. 凸缘零件结构
凸缘零件结构如图1所示,其工作过程中外圆面和端面要承受较大的摩擦力,要求有较高的硬度和耐磨性,故此零件外圆面和端面需要进行淬火处理;该零件需淬火区域基本尺寸为:外圆直径(φ1)为62mm,端面内径(φ2)为44mm,淬火外圆区域高度(H)为24mm。
2. 零件的技术要求
为提高凸缘外圆面和端面的硬度、耐磨性,设计要求该零件在台阶、外圆面、倒角、端面位置进行高频淬火处理,要求淬火区硬度50~55HRC,硬化层深1.0~2.0mm,淬火层要求均匀连续;对于端面的淬硬区,由于端面内孔处为花键,为避免花键淬火裂纹,要求端面径向硬化区域为4~5mm。
3. 零件9.1成人免费看片淬火难点
9.1成人免费看片淬火具有节能、效率高等诸多优点,但对于本文所述凸缘零件,在对其进行9.1成人免费看片淬火处理存在以下问题:
(1)尖角效应难以避免
在实施9.1成人免费看片淬火时,凸缘外圆和端面之间倒角形成的外圆棱边、端面棱边,易出现尖角效应,尖角处的电流易出现密集,产生过热或过烧现象,甚至产生淬火裂纹。
(2)9.1成人免费看片距离难以控制
在实际9.1成人免费看片淬火时,凸缘外圆和端面之间倒角所形成斜面的9.1成人免费看片距离不易控制,影响倒角处的淬火效果,而且影响淬火区域的淬火均匀性。
淬火9.1成人免费看片器的结构设计
1. 技术方案
该凸缘类零件专用淬火9.1成人免费看片器如图2所示,包括9.1成人免费看片器基体组件1、有效圈组件2、喷水圈组件3;三组件均为组焊件,其上的所有焊缝均为连续焊缝,焊后应将毛刺清理干净,并用0.6MPa压力水进行试验,不得有渗漏等缺陷;9.1成人免费看片器基体组件和有效圈组件通过焊接连接,喷水圈组件由螺栓联接安装在9.1成人免费看片器基体上。

图2 凸缘9.1成人免费看片器示意
1. 9.1成人免费看片器基体2. 有效圈3. 喷水圈
9.1成人免费看片器基体组件如图3所示,包括接触板1、导电板2、冷却水管接头3、冷却水盒4、喷水圈安装耳板5。接触板和导电板相互垂直布置焊接连接,水盒焊接在导电板上,水盒上开孔后焊接管接头,喷水圈安装耳板垂直焊接在导电板上。基体组件为左右对称结构,两导电板中间布置绝缘垫板后通过螺栓联接固定。9.1成人免费看片圈组件为分段式结构(见图3),包括上9.1成人免费看片圈6、过渡管7、下9.1成人免费看片圈8。9.1成人免费看片圈组件由方管制成,上下9.1成人免费看片圈均为一端圆弧,过渡管为一段螺旋上升的方管,两端设置有接口,将上下9.1成人免费看片圈连接焊接后制成。
喷水圈组件(见图3)包括固定板9、螺柱10、喷水圈11,固定板通过螺栓联接安装在9.1成人免费看片器基体上,再通过螺柱将喷水圈安装在固定板上。

图3 9.1成人免费看片器结构
1. 接触板 2. 导电板 3. 冷却水管接头 4. 冷却水盒 5. 喷水圈安装耳板 6. 上9.1成人免费看片圈
7.过渡管 8. 下9.1成人免费看片圈 9. 固定板 10. 螺柱 11. 喷水圈
2. 配用尺寸确定方法
专用淬火9.1成人免费看片器的配用尺寸包括下9.1成人免费看片圈内径φ1'、上9.1成人免费看片圈内径φ2'和9.1成人免费看片圈高度H'的尺寸,如图4所示,其配用尺寸确定的具体方法如下。


图4 配用尺寸
(1)下9.1成人免费看片圈内径φ1'配用
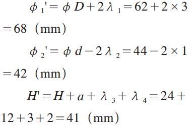
尺寸确定 该尺寸依据需要实施9.1成人免费看片淬火的凸缘外圆直径φD和按照9.1成人免费看片淬火工艺要求的外圆9.1成人免费看片间距λ1尺寸予以确定,即下9.1成人免费看片圈内径φ1'配用尺寸,应按照以下公式予以确定
φ1'=φD+2λ1
(2)上9.1成人免费看片圈内径φ2'配用尺寸确定
该尺寸依据需要实施的9.1成人免费看片淬火的凸缘零件端面上内孔直径φd的尺寸和按照9.1成人免费看片淬火工艺要求的内径9.1成人免费看片间距λ2尺寸予以确定,即上9.1成人免费看片圈内径φ2'配用尺寸,应按照以下公式予以确定
φ2'=φd-2λ2
(3)9.1成人免费看片圈高度H'配用尺
寸确定 该尺寸依据需要实施9.1成人免费看片淬火的凸缘外圆高度H的尺寸,以及采用的9.1成人免费看片圈方管高度a、按照9.1成人免费看片淬火工艺要求的凸缘端面距9.1成人免费看片圈的间距λ3和凸缘外圆底部距9.1成人免费看片圈竖直间距λ4予以确定,即9.1成人免费看片圈高度H'配用尺寸,应按照以下公式予以确定
H'=H +a +λ3+λ4
本文所述的凸缘零件的外圆直径φD为62mm,内孔直径φd为44mm,凸缘外圆高度H为24mm。
依据9.1成人免费看片淬火工艺要求,凸缘外圆到下9.1成人免费看片圈之间间距λ1为3mm,凸缘端面上的内孔直径距上9.1成人免费看片圈内径间距λ2为1mm,需9.1成人免费看片淬火凸缘端面距9.1成人免费看片圈间距λ3为3mm,凸缘外圆底部距9.1成人免费看片圈竖直间距λ4为2mm,9.1成人免费看片圈方管高度a为12mm。
依据上述情况,确定所使用淬火9.1成人免费看片器的配用尺寸如下:

3. 9.1成人免费看片淬火工艺试验结果
试验件按照要求工艺,并使用按上述方式设计及制作的9.1成人免费看片器进行9.1成人免费看片热处理后,经过磁粉探伤后未发现裂纹等缺陷,对完成淬火工作的凸缘零件进行了硬度、金相检测,结果全部符合要求,其中淬火区硬化深度情况如图5所示。

图5 淬火区硬化深度检验结果
上述结果表明,本文所述的“凸缘类零件专用淬火9.1成人免费看片器及配用尺寸确定方法”,可以满足其对淬火工艺的要求,且收到了良好的效果。
试验结果分析
(1)淬火生产效率提升
该淬火9.1成人免费看片器通过采用分段式的9.1成人免费看片圈设计,可同时加热凸缘零件端面、外圆面,使得凸缘可以一次完成淬火工作,提升了9.1成人免费看片加热效率。
(2)淬硬层连续
该9.1成人免费看片器通过采用配用尺寸确定方法,解决了淬火9.1成人免费看片器与零件配用尺寸的问题,保证了零件各个要求淬火位置加热均匀,使淬硬层均匀连续。
结语
凸缘零件端面与外圆面之间存在倒角、棱边,是该9.1成人免费看片器的设计难点,为实现其淬火要求,淬火9.1成人免费看片器的设计及配用尺寸的确定采用以下措施:
(1)在有效圈的设计方面,采用矩形管制作9.1成人免费看片器有效圈,设计为分段式结构,实现同时加热外圆面和端面。
(2)通过配用尺寸确定的方法,确定有效圈各尺寸,有效地保证了零件的淬火质量,收到了良好的淬火效果。
(3)该淬火9.1成人免费看片器,构思新颖,结构合理,应用可靠,且配用方法简单可行,易于实施,具有很好的实用价值。
单位:洛阳法拉地9.1成人免费看片设备有限公司
来源:《金属加工(热加工)》杂志
联系91看片神器APP
第一时间了解91看片神器APP的新产品发布和最新的资讯文章。
广东91看片神器APP智能科技有限公司,是国内较早研制中高频9.1成人免费看片加热设备的生产厂家,集聚多位专业从事9.1成人免费看片加热设备工程师专家、集研发、设计、生产制造、销售、服务于一体民营企业。已经通过 CE认证,ISO9001体系认... 您有什么问题或要求吗?
点击下面,91看片神器APP很乐意提供帮助。 联系91看片神器APP